Physik - Mechanik

Dieses Thema im Forum "Schule, Studium, Ausbildung" wurde erstellt von Milchmann_CL, 14. März 2010 .

Schlagworte:
  1. 14. März 2010
    Betrachten sie einen Trampolin als einen Feder.
    Ein Junge 60kg stellt sich auf das Trampolin und drückt es um 25cm runter. Danschließend wird das Trampolin mit dem Jungen 40 cm nach unten gezogen.

    a) Wie ist die Federkonstante D
    b)Wo ist bei der Auwärtsbewegung die größte Geschwindigkeit
    c)Wie größ ist die Geschwindigkeit des Jugen , wenn er ie Höhe des entspannten Trampolin erreicht hat.
    d)Welcher Höhe erreicht der Junge
     
  2. 14. März 2010
    AW: Physik - Mechanik

    a)
    F(G) = 60kg * 9,81 m/s² = 588,6N
    D = F/s = 588,6N / 0,25m = 2.354,4N/m

    Beim rest wüsste ich jetzt nicht wie man das berechnet... könnte sein das man die kraft nach dem 40cm spannen ausrechnen muss. Wenn man dann durch die Masse vom jugend teilt, kommt eine beschleunigung dabei raus. Und damit müsste man dann weiterrechnen.
    Dabei komm ich auf 15,7m/s²... ist aber nur ne theorie und hab keinen blassen schimmer wie man jetzt weiterkommt^^
     
  3. 14. März 2010
    AW: Physik - Mechanik

    Aufgabe A ist mir verhältnismäßig klar, hauptsächlich ging es mir um b-d, Bw hast bekommen.
    Danke
     
  4. 14. März 2010
    Zuletzt von einem Moderator bearbeitet: 15. April 2017
    AW: Physik - Mechanik

    a) stimmt so wie fuselmeister es vorgemacht hat.
    zum rest: ich würde es mit energieerhaltung machen, das ist glaube ich am einfachsten. demnach ist also die gesamtenergie in deinem system konstant. sie teilt sich auf in: kinetische energie, potentielle energie bzgl. des gravitationsfelds der erde und bzgl. der gedehnten feder/trampolin. wir legen das nullniveau für die potentielle energie dahin, wo die maximale auslenkung des trampolins ist.

    zu b): ich würde sagen in der lage des entspannten trampolins. denn dort hat sich die komplette energie, die im trampolin gespeichert war, in kinetische und potentielle energie umgewandelt. also ist ab diesem punkt keine energie mehr in dem trampolin gespeichert. nach diesem punkt verschiebt sich nun das verhältnis von kinetischer und potentieller energie zu gunsten der potentiellen enerige und damit wird der junge langsamer.
    c): genau das sollen wir jetzt ausrechnen. wir wissen dass an dieser stelle t1 93bc752e2fedda1d061b25243f90ea16.png
    {img-src: //www.planet-metax.de/texpaste/images/93bc752e2fedda1d061b25243f90ea16.png}
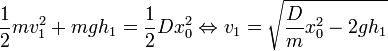
    ist. also erhalten wir mit der energieerhaltung, dass die energie zum startzeitpunkt t0 mit der dieses zeitpunktes übereinstimmen muss. und da dort kinetische und potentielle energie 0 sind, ergibt sich:
    947e2b432f63beee017398153fda12b4.png
    {img-src: //www.planet-metax.de/texpaste/images/947e2b432f63beee017398153fda12b4.png}

    und damit erhalten wir für die geschwindigkeit:
    dd306aede3edccbb036a0db1e2c30962.png
    {img-src: //www.planet-metax.de/texpaste/images/dd306aede3edccbb036a0db1e2c30962.png}

    mit x_0 = -0,65m, h_1 = 0,65m
    d) nun die maximale höhe. an dieser mit t_2 bezeichneten stelle hat der junge nur noch potentielle energie. also setzten wir:
    5f599a8b3729d5d496ea9093350314b6.png
    {img-src: //www.planet-metax.de/texpaste/images/5f599a8b3729d5d496ea9093350314b6.png}
     
  5. Video Script

    Videos zum Themenbereich

    * gefundene Videos auf YouTube, anhand der Überschrift.